I have likely mentioned a few times in this ongoing series that the atmospheric greenhouse effect is based on “tautologous”, illogical math. In this post I will demonstrate and explain clearly what is meant by that, converting the math to much simpler words that anyone will be able to follow. I’ll show the math, but I’ll convert it to a simple word-equations.
In my paper from last year, I presented the standard flat-earth model of “heat flow” which climate pseudoscientists use to create the appearance of a greenhouse effect. This is a model which is found in actual textbooks that climate pseudoscientists use to teach each other and their students how the GHE works. Criticism of the flat-earth model can be found between pages 7 & 15 of that paper. References to various flat-earth models can be found in Appendix H of this most recent paper, and diagrams can be found on pages 72 & 73 of it.
There are many example of the flat-earth model creating the GHE, and this one below is representative. Because it comes from a professor at Harvard University, we Slayers have come to call this the “Harvard Model GHE”:
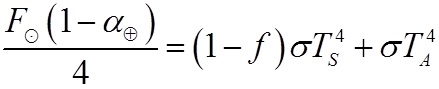
In the textbook, all the numbers and figures in the diagram gets put into an equation as thus:
This equation is “supposed” to be a representation for the energy balance coming in and out of the system. In words, it says: “The incoming solar energy is equal to the output from the surface plus the output from the atmosphere”. Now that sounds totally legitimate, doesn’t it? And it would be, except that the parameters of the equation don’t actually function in a logical way. One big point is that the power of solar heating is reduced to one-quarter of it’s actual real-time value, and day & night have been utterly rejected as being a significant part of the climate! This is what sets up the subsequent tautology, and the fraudulent creation of the greenhouse effect.
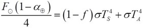
An entirely equivalent way to write the equation, in terms of the energy (and hence temperature) which is found at the surface (after all, the equation is supposed to tell us the surface temperature, not the temperature of the incoming sunlight which we already know), is:
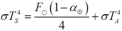
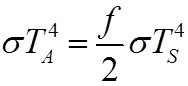
What this equations says, is: “The surface energy (temperature) is equal to the incoming solar energy plus the energy from the atmosphere”. This is more to the point of what we actually want. But here’s the catch: see the last term on the right-hand-side of the equation? In the “Harvard Model”, this term gets replaced with another one, such that:
which says that the energy/temperature of atmosphere is caused (exclusively) by absorption of a fraction (f/2) of the energy radiated from the surface.
When you make the substitution, the equation now reads:
which therefore says that:
“The energy/temperature of the surface is caused by the incoming solar energy, plus the energy/temperature of the surface.”
So do you now see the problem? Do you see the self-referential tautology? The energy/temperature at the surface is caused (in part) by the energy/temperature of the surface adding to itself! It is generating its own temperature, and all you have to do is adjust “f” until it works out. It says that any temperature is possible to self-generate, no matter how small the actual input is. It is an equation for over-unity production of work, the most basic violation of the Laws of Thermodynamics. There is no actual thermodynamics or heat-flow in this equation whatsoever, but climate pseudoscientists use it for teaching themselves how they think the climate must operate! It is much more difficult to detect this problem when it is written in the way the Harvard Model textbook presents it, and that is likely for good reason. I didn’t specifically write this all out in last year’s paper, so, now you see here it is: a temperature is increasing its own temperature. That is exactly what the equation says. You can go through pages 7 to 15 of last year’s paper to see further breakdown of the errors of the “Harvard Model”.
This relates precisely to the discussion of Godel’s Incompleteness Theorem written about in the last post. The Incompleteness Theorem applies just as much to the language of mathematics as it does for “spoken” language. You can write down a far greater number of equations that are false, than those that are true, but the false equations aren’t typically any easier to identify than the true ones. Similar to the statement “this sentence is a lie”, the above equation is likewise meaningless because, even though it can be written down, and stated, it doesn’t actually obey basic logic and physics. It is the nature of a “complete system” that it will allow “incomplete” statements; such are easier to identify in the more intuitive “natural” language, but doing it in math is a far greater challenge because math is so unintuitive (for most people, including me).
However, it is not like this entire scenario is unknown or new to science! In my “Copernicus paper” I drew a comparison between the Ptolemaic Earth-centred universe, to that of the flat-Earth math of the GHE. It has been well-known, for thousands of years no less, that sets of mathematics can be arranged to represent the appearances of any physical system, while not actually representing the internal physics of the system in any way whatsoever. This is well known! Competent scientists understand this stuff implicitly. There is a difference between physics and mathematics: even though physics uses mathematics, physics is mathematics informed by the real-world and by the insight of the rational mind seeking an understanding of the Principle for why something is one way and not another. Mathematics doesn’t do that by itself. With Ptolemaic mathematics, you can create a mathematical model with the Earth being at the centre of the solar system, and the outward appearances work – predicting the positions of the planets. This is analogous to how you can create mathematics where the ground heats itself up on a flat Earth – you succeed in matching the outward appearance, the surface temperature, but just because you can do so doesn’t mean that the way the math works actually represents the internal reality! The Earth isn’t flat…Hello.
One final bit of sophistry indicated in the Harvard Model equation, alluded to earlier, is its presumption that the energy in the atmosphere is exclusively a result of radiative input and equilibrium from the surface. In addition to the stupidity of one-quarter-power solar input, the flat Earth, no day & night, etc., this presumption is so devoid of any incorporation of any actual physics of the system it beggars belief that these people get away with it. The reason why they do this is because it directly allows for the creation of a GHE where exclusively all of the temperature difference between the surface and the terrestrial average is caused by the surface heating itself up with its own temperature via the GHE. First, the atmosphere gains a significant amount of energy directly from the Sun itself; second, the atmosphere gains heat energy by conduction with the warmer ground surface; third, the atmosphere gains energy from the latent heat of water vapour condensation. The amount of energy gained by the atmosphere from the surface by radiation is only a fractional part of the total, not the exclusive part.
So, there you have it: tautological math, Godel’s Incompleteness Theorem found in an equation. The basis of the GHE. Do you know that the GHE-believing community has never been able to provide us with an alternative explanation, after we exposed this derivation of it to be a fraud? Indeed 🙂





Great post Joe. I have never understood how so-called physics professors can believe this stuff. My only negative observation is that your use of words like “stupid” practically guarantee that no mainstream media or bloggers are likely to re-post or link to it, no matter how justified the description is.
[Reply: Thanks. And good point…I will try to be more civil :-)]
Pingback: The Fraud of the Atmospheric Greenhouse Effect Part 7: The Tautology of GHE Math « Skeptics Chillin'
plus one, never go stronger than “erratic” or “flawed” or “lacking skill”.
For how the atmosphere is really warmed, you may want to take notice of my “null hypothesis” that I posted earlier somewhere.
Andre Bijkerk
The real null hypothesis about greenhouse effect.
Finding out the effects of a certain mechanism can be done by the null hypothesis, imagining what the situation would be, if the mechanism would not have been present. We are talking about the greenhouse effects. Climate text books and just about every blog about global warming illustrate this by considering the Earth as a black body under uniform solar radiation conditions, using the Stefan Botlzman law it is found that the black body temperature would be about -18 degrees Celsius, the average world temperature is about +15 degrees Celsius. Hence the greenhouse effect would accounts for 33 degrees? No, Wrong.
Again for the null hypothesis, If you want to find out the effect, you’d have to remove exactly that effect but not more than that, hence, going to a black body model under uniform radiation is a bridge too far. You would have to consider an earth without greenhouse effect only –not a black body- but just without greenhouse gasses in the atmosphere and with a sun that shines during the day, -not an uniform radiation. That’s a big big difference.
Now picture that null hypothesis earth, the sun shining on it. The hottest spot directly in zenith gets the full radiation of some 1365 w/m2, with the Stefan Boltzman law and the average reflectivity or albedo, that would mean a heating of some 87 degrees Celsius. Strange? No, just look at the bright side of the moon. That’s even warmer, over 100 degrees Celsius. Anyway, the heated Earth surface passes the heat to the lowermost molecules of the atmosphere by simple conduction, as there is no greenhouse effect, trapping radiation. But this warmed boundary layer decreases in density and becomes buoyant, it rises up, a well know process called convection, it transporting the heat away from the earth surface as new cooler air replaces it from above and gets heated in turn, sustaining the convecting. There is always an area directly in zenith under the sun, so the convection is constantly, non stop, putting heat energy from the surface into higher levels of the atmosphere.
But what happens at the dark site of the earth? It emits infrared radiation into the cosmos and cools down, due to that energy loss. There is no greenhouse effect to counter that, so the earth will cool pretty quickly. Obviously, the lowermost boundary layer of the atmosphere transfers it’s thermal energy to the earth surface again by conduction, but cooling makes it more dense, heavier, not buoyant and it stays put. The warmer air aloft, heated during the day stays aloft and doesn’t cool down a lot by that conduction, since air is a poor conductor. This condition is known as inversion. So it turns out that this greenhouse gas free air is also unable to lose energy by radiation, because it’s the null hypothesis – no greenhouse effect either way, nor heating nor cooling.
So if the atmosphere heats up by convection at day time but does not cool off a lot during night, we do have an unbalance and the heating of the atmosphere will only stop if the processes balance again, when the daylight convection offsets the night time conduction. But it also means that the atmosphere is considerably warmer than the earth surface on the average (-18C as a black body plus the conducted heat back from the atmosphere). How much, I don’t know. Theoretical maximum is some 80-90 degrees Celsius at ground level reduced by the cooling processes due to conduction to the surface.
Now also take in consideration that if we talk about surface temperature, we actually talk about the temperature of the air molecules on some 1.5 meter above the ground and we are comparing that, not the actually contact temperature of the earth surface which can be significantly cooler than the air in the inversion conditions. Anyway, regardless of how you compare for the null hypothesis, the real surface temperature or the temperature at 1.5 meters will be higher than the Stefan Boltzman temperature for black body. Consequently, the greenhouse effect is less, much less than 33C. And if this cornerstone of the global warming theory is not as it should be, what would that do to the trustworthiness?
[Reply: Thank for this, it is quite good and goes very well with my work. Cheers!]
You’re welcome. Essentially it’s not mine, you would learn this with meteorology classes a few decades ago, when little attention was given to radiation, other than the cooling at night, leading to the inversion. I merely decided to call it the “null hypothesis”.
Notice that the hot inert atmosphere would start losing the energy when greenhouse gasses are added and it can start radiation. I can’t see a simple way to deny that the biggest effect of greenhouse / radiative gasses is to cool the atmosphere, rather than to warm it. So what would happen if we increase the greenhouse gas concentration?
Honest climatologists should be meteorologists first to know these basic processes
Cheers
Andre
[Reply: Yes indeed, excellent points. If the atmosphere has zero emissivity if no GHG’s are present, because by definition non-GHG’s can’t radiate (N2, O2), then if you add GHG’s the emissivity increases and thus the atmosphere can cool. N2 and O2 are the gases which trap heat, with their inability to radiate it away!]
One little thing, all matters radiate, also N2 and O2, That makes the sky look blue. They have only few spectral emission/ absorption lines that can be ignored for practical purposes, But it should be mentioned to avoid strawman attacks.
Andre
[Reply: Well to be sure, the blue sky is caused by preferential scattering of blue-frequency sunlight, i.e. Rayleigh scattering. But GHE adherents say that N2 and O2 don’t significantly radiate in comparison to GHG’s. If N2 and O2 thus have very low emissivity, THEY are the things which can hold a higher temperature for a given energy output rate. Some of the Slayers have long thought that the role of GHG’s is actually to cool. Carl Brehmer has recently been presenting a whole lot of data which proves that a higher presence of the strongest so-called GHG, water vapour, is always associated with lower temperatures, not higher.
Between our comments here, would you be interested in putting it together as a “guest post”? It can go under the title “The Null Hypothesis”. If you wish, send it to joepostma@live.ca and I will then post it.]
Sorry about the rayleigh scatter goof. You’re right. I’d be happy to shape up the hypothesis a bit and then I’ll send it.
About water vapor, I guess the most underestimated factor is the -latent- energy required to vaporize it. For instance, if you increase surface temperature, convection rate is increased which increases evaporation but if you try some reasonable numbers, you’ll find that the energy required for that is generally larger than the alleged increased energy with doubling CO2 ie 3.4-4 W/m2
Andre
[Reply: Thanks Andre. Another interesting factor is that day-time evaporation is caused by input sunlight, which is quite hot and has the energy available to do so, and this occurs only at the surface. However, on the other hand, the major place where water condenses is in the atmosphere, thus providing heat (latent heat) to the atmosphere. So, the cycle of evaporation actually preferentially deposits heat into the atmosphere, thus keeping it warmer than otherwise…]
I actually did a home experiment for school that I just completed.
Basic setup is as follows: 4 lightbulbs of the same output (all 60 W frosted in my case) with a way to place them evenly above a surface, two insulated boxes (styrafoam shipping boxes for the gf’s medicine that has to stay cold) with windows cut in the roof, clear plastic to cover the windows, two thermometers, and then various modifications of the general setup were performed to test variables.
One window has vents that allow air out without altering the light coming in (i.e. they overlap the edge of the window but aren’t taped down like the other sides) and I used that for convection/no convection tests.
I had a third thermometer set nearby but not directly lit for a room temperature control.
I then ran numerous cycles with the following methodology: prime the thermometers to 72 with water from the faucet, insert them with whatever factors were included, turn on the lights and close the door.
I would run for an hour with 2 bulbs, checking temp at start, 30 mins, and the end, and I would run for 30 minutes with 4 bulbs, checking the temp at start, 30 mins, and the end.
I later lined the bags with black trash bags to see what effect it would have, it helped improve the seal for the no-convection lid some so I left it for the remainder of the closed/open tests.
Ran some with just the thermometer on the surface, the thermometer on the surface in a bag filled with water, thermometer on top of the window, and then I had some more specific variables I wanted to test besides the usual attempts to eliminate instrument error (swapping boxes, swapping thermometers, changing the ordering of the runs, and even doing them during the day and night when the house was warmer and colder to record that effect to account for it, heck, I even did a set of runs with 240 Watts for an hour and 120 watts for 30 on/off for completeness) and that is where the most interesting results came out.
In general the expected was found, 30 minutes at 240 Watts gave a peak 4 or 5 degrees higher than the 60 mins at 120 Watts, and in some runs the 30 minutes at 0 Watts cooled it enough to match the average of the 60 min runs, not all, and only a couple of times did both boxes match in the same run like this.
What really turned out neat was when I began testing specific parts of the GHE, so I set up the convection/no convection boxes, and after having swapped things around decided to go full on/off for each variable.
No Convection/Convection wound up around you’d expect, with the box that could convect ending cooler than the other.
Adding an open tray of water to the convection box and the same tray empty to the other produced more cooling (and yes I tested the other way, didn’t have much effect, canceled somewhat, I think the runs with open water and no convection were the hottest overall) I expect that due to the mass of the water itself absorbing energy and then what did evaporate wound up not condensing as it was carried out with the convective currents, this makes sense. Not particularly interesting.
The last GHE component test though, I had done this in various forms before, but with the full setup it was pretty clear what is going on.
Getting CO2 content controlled is difficult, but I had a method I used before, freezer bags and a soda bottle, put the bottle inside, suck the air out with a straw and seal it snug, then shake the bottle up and bit by bit let it inflate the bag without getting soda in it (as that is a variable I didn’t want to account for here) and you get a higher CO2 content than the regular air. Put the same type of soda in the same condition in a bag that is just puffed out by hand and sealed, then run the cycles.
Putting convection, open water, and CO2 under illumination vs no convection/dry/air wound up knocking 2 to 4 degrees off:
240 W runs, 30 mins on, 30 off:
GHE on — GHE off
–72 ———-72–
–80———–84–
–76———–79–
120 W runs, 60 mins on:
GHE on — GHE off
–72———-72–
–77———-79–
–78———-80–
So water vapor, CO2, and convection all appeared to help cool the box more effectively than not, particularly when combined (most other runs were within 1 or 2 degrees of each other, the 4 degree difference was large enough I had to reset and run it again later after swapping boxes/thermometers to make sure it wasn’t a fluke, same result)… who knew?
[Reply: At a wedding…will have to read this again later for more input 🙂 ]
Oh a wedding, do you know them or did you just wander in and say “oh, it’s ok, I’m an astrophysicist”, because I know for a fact stuff like that works. I mean, I’m not actually a physicist, but people kinda go “uh… oh, he probably knows what he’s doing here, I’ll leave him alone”… hah!
Submitted the above experiment for grading earlier, wish me luck.
[Reply: Hillarious…hehe :-)]
Have a great time at the wedding. The season is also delaying my very basic null hypothesis elaboration. But nevertheless it’s in good progression. Give me a few more days.
About evaporation, some numbers. The oceans together evaporate roughly about 1.8 meter water per year. Several sources can confirm this. Hence1800 liter per m2 per year, this is 0.057 cc (cubic cm) per second. One cc evaporation requires about 2500 joules, Hence the average energy required for oceanic evaporation is 143 W/m2. Now what would you think an alleged increase of 3.4 watt for doubling CO2 is going to do for evaporation rate to get that alleged imposible positive feedback?
[Reply: Looking forward to the null hypothesis, but please do enjoy the holidays. Thanks for those numbers on evaporation etc…very useful! Assuming a general equilibrium, that same amount of energy is also constantly coming back out, into the atmosphere itself, as I mentioned previously that the cycle must preferentially deposit energy into the atmosphere. In other words, evaporation is roughly equal to condensation; evaporation occurs at the surface itself but condensation occurs in the atmosphere. Thus 143 W/m^2 additional input, in-situ to the atmosphere itself. That’s about 12.35 MegaJoules per day, which is ~60% of what sunlight introduces. This is very interesting…I had never though of this before until reading your comments…a whole new line of physics to consider!]
I just went over this with the gf earlier.
Today it was around 8 C when we got up (a bit late, were up til morning) and it was raining til the sun went down, now it’s 11 C.
I asked her why, she said “hmmm, because the sun was shining all day?”, and I told her that I can’t say that is wrong, she did have the right answer in a roundabout way.
She was a bit lost there, so I pointed out that the sun was shining over the pacific all day, and that means evaporation. Evaporation cools a surface, and the water vapor is carried around with the winds.
The water vapor that we had dropped on us didn’t originate near here, most of it probably came out of the pacific ocean, and the energy that warmed it up after the sun went down didn’t originate near here either… it came with the water.
She was a bit dubious at this point, but I just had her think about why evaporation cools a surface, she suggested that it got rid of the heat, sounds reasonable enough, right?
But I told her that’s a problem, we can’t just get rid of energy, and heat is just a flow of thermal energy… so if the heat isn’t flowing in an obvious manner, it must be hidden somehow, right?
She started to follow along, and I connected the last couple of dots, water vapor could be thought of as water + hidden heat, so when water vapor turns back into water, the hidden (or latent as I explained later) heat is transferred into the atmosphere, and that is responsible for warm muggy nights like tonight!
It’s warmer than it was this afternoon because the sun was shining all day, but it was a couple of days ago, and it was over the pacific ocean… and that wound up making it warmer here in Memphis today. 😀
[Reply: Nice]
Lovely, Andre!
Makes a great deal is sense.
Looking forward to Joe’s detailed comments
You’re welcome, spread the word.
Quickly then – not a lot of time
To further on the numbers, like the average 134 W/m2 required to keep the evaporization of the oceans going, it can be read at several places that it is assumed that the positive feedback of water vapor means that the average relative humidity remains constant. Which means at higher temperatures that there is more water vapor in the air.
Let’s see what this means for energy. With this very useful tool http://www.humidity-calculator.com/index.php we can calculate some rough magnitude numbers. Select on the right a relative humidity of 50%, in the middle a temperature of 15C (about the Earth’s average) and ask for the absolute humidity output. That gives us a value of 6.49 gram per cubic meter. Now, if we increase the temperature one degree, we get 6.84 g/m3; that’s a 6% increase. If we go for the alleged 2.5 degrees mean increase for doubling CO2 we get at 17.5C a value of 7.49 g/m3 and that’s a 16% increase.
Obviously one cannot assume that these 6% and 16% are also true for the required increase of that 134 W/m2 evaporation energy to sustain that higher absolute humidity, since a lot more factors are working, like wind speed and mixing air in turbulence etc, but it’s hard to see it being done with that 3.4W/m2 and still have energy left to raise the temperature.
Andre
Always seemed odd to me to suggest constant relativite humidity, isn’t that rather like directly pegging temperature and the water content of the atmosphere together?
Seems like an unphysical assumption used for modeling, a rise in temperature doesn’t magic water vapor into the air immediately, and the processes which add water vapor tend to locally reduce temperatures, while the processes that remove it work the opposite way, don’t they?
[Reply: Indeed, they do.]
The model is so obviously wrong it is amazing that people do not fall about laughing that anyone could consider it science.
Energy in x ( 1 – albedo) x pi x r^2 = energy out x 4 x pi x r^2 shows that they are not calculating the temperature that the solar radiation is capable of generating.
All their sophistry shows is that to balance an input of ~1000 W/sq metre over a disk profile of a sphere the sphere only needs to radiate 1/4 of the input over a surface area 4 times the size.
What if the Earth was cube shaped – would one use a factor of six instead of four to calculate the “blackbody” temperature ?
[Reply: You know that’s such a great point! Never thought of it that way. That is exactly what they would do! Then sunshine would be heating to -43C instead of -18C, and they’d still be so confused as to the why the sun-facing side was so much hotter. This all stems from them using simple linear algebra to describe a process, heat flow, which can only be described with differential equations.]
Pingback: Logical Physics Maths | Climate of Sophistry
Joe, You said “If the atmosphere has zero emissivity if no GHG’s are present, because by definition non-GHG’s can’t radiate (N2, O2), then if you add GHG’s the emissivity increases and thus the atmosphere can cool. N2 and O2 are the gases which trap heat, with their inability to radiate it away!“
If all matter heated above 0K radiates EM, wouldn’t N2 and O2 radiate to space as well as multiatomic gases?
AI explained it well enough
You’re correct that convective currents can excite molecules, including homonuclear diatomic molecules like N2 and O2. This excitation can indeed lead to the emission of electromagnetic radiation. However, the key point here is the type of radiation that’s emitted.
In the case of homonuclear diatomic molecules like N2 and O2, these molecules are symmetric with no permanent electric dipole moment12. In order for a molecule to absorb or emit infrared radiation, there must be a change in its electric dipole moment during the vibration12. Since N2 and O2 do not have a permanent dipole moment and cannot form one through their vibrational motions, they do not interact strongly with infrared radiation12.
However, when these molecules are excited by processes such as collisions (which can be caused by convective currents), they can indeed emit radiation. But this radiation is typically in the form of kinetic energy or other forms of electromagnetic radiation, not specifically infrared12.
So, while convective currents can excite N2 and O2 molecules, these molecules do not become “IR active” in the sense that they start absorbing and emitting infrared radiation12. Their emissions due to excitation from convective currents would be in other regions of the electromagnetic spectrum12. It’s a subtle but important distinction in the context of radiative heat transfer and the greenhouse effect.
This is a complex topic and the details can depend on many factors, including the specific conditions and the energy levels of the molecules involved12. I hope this helps clarify things a bit! If you have more questions, feel free to ask. I’m here to help! 😊
You know for AI
I have a paper somwhere that shows the bands of nitrogen.
N2
N-N stretching 2744 cm-1
(IR inactive)
(Raman active)
CD,
You’re way over my head. I was just thinking that since all matter heated above 0K emits EM that O2 and N2 must emit EM that also escapes to space and so helps cool the earth system.
I guess the short answer is it does a little.
Thanks, CD. Any guess as to how little?
Not a clue but a physicist did do experiments in that years ago, Joe might recall or someone else. That’s when he proved Nitrogen was Raman active and the atmosphere emitted in bands outside IR. He was of course cancelled for it.
The homonuclear gases in the atmosphere (N2 and O2) are going to emit and absorb a negligibly small amount of IR radiation.
generally it is forbidden by symmetry — because the vibration of an N2 molecule does not create a dipole moment, it cannot emit radiation.
At some point I read a paper that shows that two N2 molecules, while they are in the process of colliding, can temporarily change shape which lets them radiate. But this is a tiny tiny effect.
Raman active does not come into play here because you need much higher energy light to see Raman scattering. Usually visible or even UV. And even then it is so weak you need a laser to see much. Raman scattering means visible light strikes the molecule and is scattered as visible light with a slightly different energy. The difference in energy may be similar to the energy of an infrared photon — but the actual light going in and out is visible.
Alex, I don’t think there is any law that says everything has to emit EM radiation.
Don’t trust AI! It can be good for the very basics, but it also will lie completely. And it’s hard to tell when.
like this is nonsense:
”However, when these molecules are excited by processes such as collisions (which can be caused by convective currents), they can indeed emit radiation. But this radiation is typically in the form of kinetic energy”
There is no such thing as radiation in the form of kinetic energy. Radiation has to be a particle.
I think that was just the wording.
I understood it meant collisions transfer KE.
But in that moment, it can emit IR in that perturbation but not always,
But yes, AI lies all the time like those who program it.
Thanks for the explanation Napal. That helps. I did some homework and understand much better now, CD. I had read an article by Alan Siddons in which he states “that all heated bodies radiate light”, so I assumed without doing more research. I didn’t realize that about homonuclear diatomic gases.
https://www.americanthinker.com/articles/2010/02/the_hidden_flaw_in_greenhouse.html
In that case how do N2 and O2 get rid of energy? Collision only?
I can’t see anyway aside from Potential Energy unless it emits some energy (which is minuscule) or interacts with molecules with an active dipole moment. That is why the claim without ghgs the planet would be freezing is absurd.
Alex, that’s right, for molecules that don’t interact with IR, that pretty much leaves collisions as a mechanism for energy exchange — that’s the only option for gaining OR losing energy actually.
The article you linked gets some things right. That statement from NASA is simplified to the point of being wrong (but to be fair it is meant for 5th graders, if it were technically correct it would be way beyond them). The article also gets some things wrong though like
”And while it’s true that some substances may be transparent to infrared light, it doesn’t follow that they can’t be heated or, if heated, might not emit infrared.”
a substance which is transparent to infrared also won’t emit infrared — that’s Kirchhoff’s law of thermal radiation.
Kirchhoff’s law of thermal radiation is very interesting. It can be derived just by thinking carefully about the second law of thermodynamics, without any other information — that’s what Kirchhoff did.
In other words, if you had a material which emitted thermal radiation but didn’t absorb it, you could straightforwardly use it to make a machine which generates infinite free electricity from ambient heat.
Nepal,
since you’re here. If you want to delve into this and/or Joe have a look at it. I’ve had headaches for a week so I couldn’t get beyond the 1st paragraph.
https://docs.google.com/document/d/1nyGKt7p5hvufuPW5_k_tbcX5BcUxiXL2RjqgdG4Jpf8/edit#heading=h.yhh7nzwivkfw
Beyond my initial paygrade anyway.
I think that it can all be explained by the time lag required for diffusion plus the incoming solar being the active heater.
It still all accords with Fourier’s comment that to actually get this effect to work, you need solid barriers.
The solid barriers introduce a time lag and an effective reduction in emissive coefficient from the lower layers.
The open atmosphere still only requires milliseconds or microseconds for the emission to get to space, even with backscattering, but solid panels require minutes or hours to allow heat transfer, and this allows the incoming high frequency solar to do more heating before its energy is spontaneously exhausted as with an uncovered panel, or the surface with free atmosphere.
So, it proves Fourier’s remark, that requires solid panels, but, it also makes the point that this cannot happen in the atmosphere, and isn’t ever actually measured on the ground surface.
The adiabatic lapse rate is the explanation for regional variation in altitude wrt sea-level, etc.
Fourier was the only thing that came to my mind. I needed a physicist to fill in the rest. 😁
You more or less covered this, actually.
A Note on Fourier and the Greenhouse Effect | Climate of Sophistry
You ever think about working with Peter Ridd? A fellow ronin as it were.
Should do!
They’ve tried to block his sites from Google. Google him you get discredit attacks on him that pop up first. Well I did anyway.
His site…
https://www.australianenvironment.org/our-people
Although Jo Nova is not a fan of you, apparently?
Why greenhouse gas warming doesn’t break the second law of thermodynamics « JoNova (joannenova.com.au)
Yes another one who didn’t get it.
Or chose not to. Someone said and (I don’t know anything about her personally), that it would be counter-productive for her to go scorched Earth on the GHGE due to her husband’s work.
JoNova uses the blanket analogy quite incorrectly, ignoring the fact that it’s the trapped air in the blanket which provides insulation, slowing down conduction. That’s why a string vest under a shirt keeps you warmer than one without the holes, and a quilt works better than a blanket. That’s high school stuff so she must know better.
If N2 and O2 don’t radiate and latent heat from condensation of water at the cloud level is released as sensible heat warming mostly N2 and O2, how is that heat radiated to space to cool the atmosphere? Has Joe already discussed this elsewhere?
The atmosphere seems to be a pretty poor emitter. Low emissivity, higher temperature.
I read that the water cycle cools the earth, but it apparently just deposits that heat higher up in the atmosphere? Does this heat just collect up there? Is most of the earths heat loss coming from the surface as IR and slipping through the atmosphere to space?
Alex, first off the atmosphere does still radiate a significant amount due to water vapor and CO2.
But even if it didn’t, water wouldn’t deposit latent heat forever, continually collecting heat. Like most things it reaches a steady state.
water deposits latent heat when it rises, the air cools with altitude, and finally it gets cold enough for the water to condense, causing it to dump latent heat. If more heat is being added than lost, the air will warm up, water won’t condense anymore, and therefore it will stop adding heat.
this process creates the (moist) lapse rate, which yields a very specific drop in temperature for every foot of altitude. This steady state already happens, even though the atmosphere does radiate. Water vapor has the potential to transport a huge amount of energy into the atmosphere. This is not outcompeted by radiation to space, but rather it limits itself by the process described above.
similarly, convection has the ability to transport a huge amount of heat from the surface to the atmosphere, but also limits itself once a certain temperature gradient is reached.
Nepal,
I am confused. Joe said “The atmosphere seems to be a pretty poor emitter. Low emissivity, higher temperature.”
My original question was “If N2 and O2 don’t radiate and latent heat from condensation of water at the cloud level is released as sensible heat warming mostly N2 and O2, how is that heat radiated to space to cool the atmosphere?”
I understand what convection and evaporation do to carry heat to the upper atmosphere. But, I don’t understand that if the atmosphere is a poor emitter, how is that heat converted to IR radiation so it can exit the atmosphere.
My apologies for my lack of ed on this subject. I need to know this as I may end up speaking on this subject to lawmakers.
Thanks for your help.
Nepal,
I do understand your point about condensation heating the local air.
Alex,
Water vapor and CO2 primarily are responsible for the atmosphere emitting IR to space. They aren’t incredibly good emitters, but it’s still substantial.
meanwhile, and this is a slightly simplified picture, heat is transferred from the surface to the atmosphere in order to keep a constant amount of energy in the atmosphere. When the atmosphere radiates energy to space, energy is transferred in from the surface to replace it. But once that energy is replaced, the mechanisms which move heat from the surface to the atmosphere stop.
Clouds are huge emitters, but clouds form many variable functions depending on type and location. Water vapor has a broader (than non-condensing greenhouse gases) spectrum and a permeant dipole, but its peak absorption is 6-7 µm.
Joe,
what do you think of Dale Cloudman? He’s bright and seems genuine I’ll give him that.
I have read , I think several places that clouds emit IR.
After some thought, how about this explanation?
Water vapor condenses giving up latent heat as sensible heat that is absorbed by the new water droplet. Then the water droplet can radiate it as IR in a random direction, of which ~50% would go upward to space or through conductivity, transfer that heat to other gas molecules, some of which could be CO2 which would also radiate it in a random direction. There goes the energy I was wondering about disposal of.
Does that make sense or am I dreaming?
According to https://water.lsbu.ac.uk/water/images/sun.gif , water absorbs a broad array of IR freq. and according to Kirchhoff, would also emit it.
I’m just trying to come up with a simple story to tell a lay person how it works.
CD, does water vapor radiate or only after it has condensed into droplets?
Water vapor is the most effective emitter in the atmosphere of IR via a gas molecule.
Clouds (depending on opacity) can absorb nearly 100% of IR from the surface, they are slower emitters though (I feel). Clouds emit from top and bottom, but the lower cloud is always warmer. IR is the claim for the delta in the air with cloud coverage but even (to a degree) that may be true the release of latent heat from condensation would explain the temp spike better.
Thank you CD and Nepal for helping me understand this function of water as much as I do, now. I feel better about explaining it to someone else, now. That is important as I am approaching government officials trying to educate them about the futility of and waste of resources of the CO2 mitigation initiatives(for what it’s worth). I’m hoping to have some impact on this lunacy. I’m sure I’ll be back with more questions in the future.
Cheers
CD, You said “that may be true the release of latent heat from condensation would explain the temp spike better”.
Are you referring to the current “heat wave” in the news?
No, just clouds in general.
So clouds (according to NASA) are an average of -40 to -70 Celsius top layer and 18 Celsius bottom layer. The IR forcing alone cannot justify that temperature, as the top is so cold latent heat and perhaps compression like the effects of a heat dome are the only other viable options. The 2nd was a longshot theory the first seems more viable.
The reason why I feel latent heat is the correct answer is by comparing those temps the effective layers of water vapor which nothing is below freezing. The effective layer is simply the top layer satellites can detect and keep in my mind that the peak absorption is 6-7 µm.
EFFECTIVE LAYER:
height of_
19,000 feet (5.8 km)/-18°C
30,000 feet (9.1 km)/-30°C
40,000 feet (12.2 km/-60°C
CD, Most condensation occurs below 2 km altitude, I’ve read. If my “explanation” was right, radiation would emit from that altitude, right?
CD, I meant “most radiation would emit from that altitude”.
Radiation emits everywhere. So yes.
Even 14 years ago the fraud was strong in climate science.
https://scienceofdoom.com/2010/09/27/the-real-second-law-of-thermodynamics/
The Chief Sophistry cat Dr Roy Spencer is at it again:
Yes, the Greenhouse Effect Is Like a Real Greenhouse (and other odds and ends) « Roy Spencer, PhD (drroyspencer.com)
…..Yes, the Greenhouse Effect is like a Real Greenhouse
Most objections to using the greenhouse analogy is that the atmosphere does not have a “roof” preventing convective heat loss like a greenhouse does. But those who claim this don’t realize that the greenhouse effect (GHE) is defined with no convective heat transport. The GHE is like a real greenhouse with a perfect roof. The original paper on this is Manabe & Strickler (1964), where they calculated the average surface temperature in pure radiative equilibrium (the surface and each atmospheric layer achieving a temperature where rates of absorbed and emitted radiation are equal– no convection) was about 70 deg. C warmer than what is actually observed. The weaker “33 deg. C” effect you often see attributed to the GHE is actually the sum of [GHE warming + convective cooling]. It is NOT the extra warming from the GHE alone. So, yes, Virginia, Earth’s greenhouse effect is like a real greenhouse (even more so, because its “roof” is perfect, whereas a real greenhouse roof does lose some heat through conduction of heat through the roof and then convective air currents cooling the roof)….
You will probably not be able to comment there, since he has implemented a stricter commenting policy where he will approve every comment himself.
The effective mean radiative height for Earth as an average is 3.3km at 266K for a mean emissivity of 0.85.
What is interesting is that the lapse rate above the clouds where opacity is low, is almost exactly the same as the lapse rate below the clouds (9.8 and 9.7) but the lapse within the cloud is very low. As such the release of latent heat powers updrafts and the energy is stored as gravitational potential energy (most phase changes are isothermal). Due to mass conservation an equal amount of air descends between clouds and this heats as a dry lapse at 9.8K/km. This means that for a particular cloud layer the upper surface is not that much cooler than the lower surface (important for radiation to space) but the air is ejected drier at the top of the cloud and is very buoyant due to not cooling very much with ascent, and energy is again stored as gravitational potential energy which can maintain temperature as the gases radiate by collapse (see nocturnal descent).
The total global lapse rates of Earth and Venus illustrate the control that gravity imposes and renders internal long wave radiation values environmental products.
Geo, very interesting. I thought the effective emission height was 6.1km. What am I missing?