Boundary Condition Thought Envelope
The following diagram and math is what is taught at ivy-league universities in climate science and general physics programs. In the many discussions I’ve had with advocates of climate alarm and its version of a greenhouse effect in the open atmosphere, it is always claimed to be a “toy model which nevertheless tells us important things about basic features of the atmosphere and climate“.
I hope people can understand that if the basic features which are believed in are incorrect, then it follows that the rest of the science done based upon the context of those false features will likewise be incorrect. The problem would propagate. The supposed ‘basic features’ one interprets or believes in establishes the paradigm, or the boundary condition envelope, within which subsequent interpretation and analysis will take place and be directed by. Case in point is the Ptolemaic, Earth-centred conception of the system of planets, moon, and Sun: if you think that the Earth is the centre of the universe, are you subsequently going to have realistic ideas about the Earth and universe?
Math of the Boundary Condition
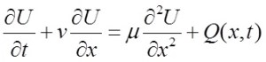
The reasoning of the greenhouse effect diagram from above goes quite simply, as follows:
The temperature on the surface of the Earth is proportional to the energy received from sunlight plus the energy received from the atmosphere.
The energy received from the Sun is the Fs(1-A)/4 term, where Fs is the energy flux density from Sunlight, and A is the reflectivity of the Earth surface and so (1-A) is the portion of sunlight which gets absorbed and thus contributes to surface heating.
Typo alert: The energy received from the atmosphere is the σT14 term; in the diagram, there should not be an ‘f’ in front of that term. The typo is not mine, this diagram comes from Harvard University. The temperature of the atmosphere, T1, is due to a fraction of the energy from the surface being absorbed into the atmosphere on that radiation’s way out to space.
And the energy at the surface, which is a result of the addition of the two above fluxes, is σT04.
As it is the surface temperature which is sought-after in this thought envelope, then the first two terms are added together so that:
1] σT04 = Fs(1-A)/4 + σT14
Again, what this says is that the temperature on the Earth’s surface, T0, is proportional to the sum of the energy from sunlight, and from the atmosphere.
Physics of the Boundary Condition
The first problem with the paradigm being established here is that it treats the atmosphere as a source of energy. Is it? The sun and its sunlight is surely a source of energy, but is the atmosphere an actual source of energy, or is it actually just a store-house of energy in as much as something that has a temperature holds internal thermal energy?
It is the latter. The atmosphere is not a source of energy. It has no chemical or nuclear or other processes going on inside it which produces heat, and it simply passively holds a temperature…a cooler temperature, typically, than the ground surface.
A second problem is that if sunlight is averaged over the surface of the Earth, then the power density of sunlight is this Fs(1-A)/4 term which has a temperature forcing value of -180C. Does that make sense to you? If you think of sunlight, in your paradigm, as only being so strong so as to heat things up to -180C, then how are you going to melt ice into water, create clouds and water vapor, get a sunburn, or scald your feet on hot sand at the beach? Isn’t sunlight responsible for all those things? It is. But if your paradigm treats the strength of sunlight as only -180C, then you need to invent something else to make up the deficit, and that is why the atmosphere is conjectured to be an additional source of energy.
So those are two problems which obviously have everything to do with each other.
Is this “toy model” telling us anything truthful about the atmosphere and climate? Is it a simplification which nevertheless tells us something useful? Or has it actually completely destroyed any connection to reality that our thought processes have developed thinking within the bounds of this paradigm?
It’s obviously the latter. If this isn’t obvious to you, if it isn’t obvious to you that sunlight is not -180C, and that the atmosphere is not a source of energy to make up for the cold sunshine, then I don’t know what to tell you.
This is not a starting point that has established some basic features of the atmosphere and climate. This is a starting point that is divorced from reality in the most important and fundamental aspects of the physics of the atmosphere and climate. We’re nowhere near reality. The atmosphere as a source of energy? Sunlight which is -180C in power? Sunlight averaged over the entire Earth’s surface at once so that there is no day & night? Where the heck are we? Where have we gone? What is this place? And now from here, we’re going to convince people of extrapolations from these foundations? What? Huh? Why?
Why are people so taken in by this insanity? I’ve talked to so many people about this, so many alarmists and their lukewarm supporters of bad science, and they just go insane, crazy, nuts, when you ask them to reconsider these foundations. I just don’t understand what’s wrong with them. How is it possible? How can they believe these things? How can they be so irrational, so incapable of examining their beliefs? It’s mind-boggling.
They have not established a useful starting point in understanding reality. They have established a fiction, from which only fiction can result.
Bad Physics = Bad Maths
Let’s go back to equation 1] and rearrange it so that it looks more like a standard conservation of energy equation, with external inputs all on one side (left) and outputs all on the other (right):
2] Fs(1-A)/4 = σT04 – σT14
Is that correct? Is it good physics? It says that the conservation of radiant energy from the Sun with the Earth is established by the difference between the temperature of Earth’s surface and Earth’s atmosphere.
Why would conservation of the energy from sunlight be determined by the difference between the Earth’s atmosphere and surface temperature? I mean maybe a lay person has no clue what’s going on here, but I’ve talked to PhD’s in physics who think this is entirely reasonable. It’s not! It physically makes no sense at all. Conservation of energy to outside the system is not established by an internal difference inside the system, but but by a sum of external outputs.
But then they ignore that and always go on to say that, if the temperature of the atmosphere increases, then the temperature of the surface must increase in order to maintain the same difference between terms on the right hand side. And since the atmosphere is colder, then this proves that colder things can heat up hotter things.
What in the heck? There are people with PhD’s in physics saying this. WTF? To increase a temperature requires an input of heat, an inflow of heat, but heat only flows from hot to cold and so something cold can not heat up something hot! Have these people lost their minds? What insanity is at work here?
Let’s at least try to make their model and math make sense, and so we’ll add together the energy that makes it out to space from the surface, plus the energy from the atmosphere. The energy flux from the atmosphere is σT14, but the source of this energy is the fraction absorbed by the atmosphere from the surface. Their math in their textbook then says that the atmosphere emits the energy is gained from the surface in two directions, and so
3] fσT04 = 2σT14
where f is the fraction of energy from the surface absorbed by the atmosphere. Therefore the energy making it to the outside of the system is the fraction which makes it outside directly from the surface, plus the fraction from the atmosphere which is directed outside, and so:
4] Fs(1-A)/4 = (1-f)σT04 + (f/2)σT04
This equation is actually identical to the one they had already at 1] if you do the necessary rearrangement, so is it going to be any better? It says that a fraction ‘f’ of the energy flux from the surface doesn’t make it out to space, because some of it is absorbed by the atmosphere. But then, only half of that energy makes it out of the atmosphere to outer space. So, where did the other half disappear to?
If some radiation from the surface gets absorbed by the atmosphere on its way out, then that portion of energy needs to itself be fully emitted by the atmosphere to outerspace in order to account for all of the energy in question. Their equation violates the law of conservation of energy because it only emits half of the energy absorbed by the atmosphere from the surface to outerspace. That’s the worst violation you can make in physics.
Of course, their answer would be that the missing half of the energy goes back into the surface to increase its temperature. This is the cold heating up hot thing again. Sure, let’s say that. Then what happens? Then, once again, at a higher surface temperature, a fraction of the energy which is emitted from the surface to outerspace gets absorbed by the atmosphere, but only half of that energy makes it out. So, what happens to the new missing half? Again, following the logic, they would have to say that it goes back to the surface to heat it up some more. And then the whole scheme would have to repeat itself once again. It’s the classic runaway self-amplification problem, a geometric series, that had been exposed in this conception of a radiative greenhouse effect as non-physical and impossible ages ago. High school students can identify geometric series such as this. Why can’t scientists interested in the climate?
This is the most basic exercise in a recursive process and logic that you can possible get. Why don’t they understand it? How is it possible that they create this runaway, non-physical, recursive self-amplification process, but then in the next blink ignore the fatal logical conclusion of the process they invented? How can people be so irrational? How can they be so insane? How can they create something that requires a certain intelligence level to understand, but then refuse to acknowledge the consequences of their creation which requires the same level of understanding to comprehend the error? What is wrong with these people?
Escape from the Paradigm
Obviously, to avoid the infinite recursion problem, and to obey conservation of energy, then the energy absorbed by the atmosphere from the surface needs to be fully emitted to outerspace by the atmosphere. There is no splitting by two of the radiation emitted by the atmosphere, for the atmosphere doesn’t lose energy in the downward direction: it’s an insulated boundary, there is no energy loss there. Does the atmosphere emit energy toward the surface? Sure, but it doesn’t leave, because the surface stops it. It goes right back in to the atmosphere. Does this mean that the cool atmosphere heats up the warmer ground, or heats up itself? No, why would anyone even say something like that? What is lost downward is instantly regained and so it causes no change. To cause heating, increase in temperature, requires heat flow input, and heat flow only occurs from hot to cool, not the reverse, or between identical temperatures. The only direction the atmosphere loses energy is towards outerspace, and it loses the exact amount of energy that it picks up from the surface.
Therefore:
5] Fs(1-A)/4 = (1-f)σT04 + fσT04
where σT14 = fσT04 (the temperature of the atmosphere is given by the fraction f of energy flux it absorbs from the surface), and equation 5] simply reduces to
6] Fs(1-A)/4 = σT04
This would normally mark a correction out of the false paradigm as we’ll see, however, again, none of these radiative greenhouse effect adherents are actually thinking about what they’re doing along the way. Not the alarmists certainly, and not the lukewarm skeptics for the most part either. They haven’t cared about any of the steps along the way…they’ve cherished every single error. They’re in love with this false paradigm with its insane cognitive boundary conditions of a flat Earth with freezing cold sunshine too feeble to heat anything on its own above -180C and with the inert atmosphere as some magical source of energy it doesn’t actually produce.
Instead of feeling uncomfortable with cognitive dissonance, these pseudoscientific climate alarmists and their lukewarm supporters have made an absolute religion out of it. And they seek to institute that religion into politics. Get aware of the game they’re playing!
What is wrong with these people, and scientists? On the one hand they say that math is just a tool of science and that observation and empiricism and the laws of science are what make up reality, but then immediately on the other hand as soon as they invent an equation that they’ve interpreted out of some pet model they like, they go absolutely insane insisting that math is infallible and that if math says that cool heats up hot, then be damned with the laws of physics and thermodynamics!
What is wrong with them…what is wrong with these people’s minds? We should be putting these people on trial, and protecting society and our children from them. We should be determining if these people are smart and putting us on, in which case they are morally culpable for the damage they’ve done to knowledge and logic, or if they’re stupid and they just don’t know what in the heck they’re doing, in which case they’re totally incompetent. Either way, society needs to be protected from them.
The root of the problem is that scientists have become protected by specialization. Society trusts what the specialists say they’re doing, but the truth is that that whole system can be compromised and hijacked either by intent or by stupidity because almost nobody checks on them, and almost nobody can check on them. And then when the specialists are checked on, the entire specialist edifice moves in to protect them with claims of peer-review and “expertise” because all of their jobs depend upon not being closely inspected. A system like this can never produce a meritocratic society, and merit can be entirely hijacked in just this way, all too easily. The interesting question is whether it’s being done with intent, or out of incompetence. The truth, I can tell you, is that it is being done with intent, although it does use a lot of incompetent stupid people for support, who go along with it for ideological and neo-religious reasons.
So why did equation 6], coming from the correct equation 5], reduce to such a simple equation? It is because the equation is all about the Stefan-Boltzmann Law, and the S-B Law used in the context of non-solid surfaces (i.e. the atmosphere) can only be related to what is called an effective temperature. This is 1st-year astronomy and physics. A star for example doesn’t have a solid surface, so there’s no place to stick a theoretical temperature probe and take its temperature. How far down into the stellar atmosphere do you go? At what optical depth for which specific frequency do you denote as a surface? You can’t do that objectively, and there isn’t any. All you can do, is look at the total energy output from the star, giving a value for the flux F coming out of it, and so then, given the S-B Law, you derive what would effectively be the stars temperature if it was a solid hard surface. But the truth is that the temperature of the star changes continuously with depth inside it, increasing as you go down inside its atmosphere, just like with Earth’s atmosphere.
The only thing that the S-B Equation can tell us about the Earth as an averaged-out system, is the Earth’s effective temperature. Considering energy balance with the Sun, then the effective temperature of the Earth, if you add up all of its radiation when looking from outerspace, is effectively equivalent to -180C. And that’s what the Earth is! That temperature has nothing, absolutely nothing, to do with the physical input of solar energy into the Earth and on the Earth’s surface. Yet for climate pseudoscience, it establishes the basis of their entire paradigm for thinking about the Earth, with their attendant radiative greenhouse effect invented to correct the error. But it isn’t a correction to an error, it is an error to correct an error. You don’t correct an error by inventing something to fix it, you correct the original error by discarding the mental phase space which created it.
The diagram at the top of this post isn’t just from Harvard. In my paper here in Appendix H, I list a random sample from a dozen institutions which use this same model for establishing the foundational principles for their idea of an atmospheric greenhouse effect. How can they all be so stupid? How can so many people not think about basic logic and reason? How can so many climate scientists not understand basic physics and mathematics? Why do they promote what is plainly false?
Ontological Heat Flow
The mathematical nature of heat flow was discovered by Joseph Fourier.
“There cannot be a language more universal and more simple, more free from errors and obscurities… more worthy to express the invariable relations of all natural things [than mathematics]. [It interprets ] all phenomena by the same language, as if to attest the unity and simplicity of the plan of the universe, and to make still more evident that unchangeable order which presides over all natural causes.” – Joseph Fourier, The Analytical Theory of Heat
“Primary causes are unknown to us; but are subject to simple and constant laws, which may be discovered by observation, the study of them being the object of natural philosophy.
“Heat, like gravity, penetrates every substance of the universe, its rays occupy all parts of space. The object of our work is to set forth the mathematical laws which this element obeys. The theory of heat will hereafter form one of the most important branches of general physics.” – Joseph Fourier, The Analytical Theory of Heat
(sourced from: Hockney, Mike (2014-11-03). Causation and the Principle of Sufficient Reason (The God Series Book 21) (Kindle Locations 608-616). Hyperreality Books. Kindle Edition.)
Fourier mathematics is the true basis of heat flow. The simple model that is used to establish the boundary condition of thought for climate alarm pseudoscience has nothing to do with Fourier mathematics or how heat flow actually works in reality. Never mind using the correct mathematics, it doesn’t even use 16th Century knowledge of reality. No one, in any time or age previous to these times, would have thought that a starting point for a conception of reality with sunlight being -180C could be a rational position to take.
The correct, Fourier-based equation for heat flow in a column of atmosphere would look like this:
So can you see why the specialists can lie about the importance of their field, just so that they can keep a job, and additionally if they really desire it, scare the heck out of an unaware public and co-opt governmental infrastructure for their own nefarious ends? Because few people can tell what the heck is going on with that equation let alone being able to solve or numerically compute it. It is a radiative-convection-diffusion equation that accounts for the conductive, convective, and radiative flow of heat in a column of atmosphere…plus subsurface if you include that too in the numerical computation.
Within this equation 7] is couched the fundamental thermodynamic principles of the directionality of heat flow, and the related limitations of which way temperature can change and due to what physical effects that are present to affect it. There is no radiative greenhouse effect produced or allowed with this ontological equation of heat flow. It is as simple as that. The colder atmosphere does not cause the warmer ground to become warmer still. It is mathematical fact. Not that we need something as absolute as mathematical fact to debunk the silly climate science greenhouse effect in any case!
Parting Example
One other really great example of the stupidity of climate pseudoscience. Did you know that what they call the surface temperature isn’t even the temperature of the surface? What they call the surface temperature is actually an average of temperature measurement stations with thermometers that are about 4.5 feet (1.5m) above the surface, in the air. This is an air temperature, not a surface temperature…they don’t even use English and basic definitions within language correctly! How can you be so insane so as to call an air temperature the temperature of the surface of the Earth? Those aren’t the same thing at all.
Just take a look at this video sequence of temperature data here:
Do you see the facts? The surface temperature at 0m altitude goes way higher than the air temperature at 1.5m! If the incompetent climate pseudoscientists actually used the surface temperature, since that’s what they call it, they would need a radiative greenhouse effect several times stronger that what they think they need now! How can the temperature of the surface pulse to over 700C when sunlight is only -180C!? Of course, if they actually made sense at any point in their idiotic narrative, it would expose them, and so, they make sure to never do or use anything that ever makes any sense.


Joseph: This is a very good article. As to “why or how” some people can continue down the road of GHE theory is beyond me. As an aside. I was looking at the definition of “heat” at Wikipedia today, and there is a little box on the right stating “the sun and earth have an ongoing heat exchange process, where the sun’s thermal radiation is striking the earth is greater than earth’s lower temperature sending back less thermal radiation to the sun. It is stated the process can be quantified on a net basis”. Where is entropy? Is earth a star? I try and follow science as presented by Principia Scientifica and a few other websites that are rational, and leave the other nonsense to the true believers.
Nice to have you back Joe. You’ve been missed.
The one thing you didn’t say after “The only direction the atmosphere loses energy is towards outer-space, and it loses the exact amount of energy that it picks up from the surface”, but is obvious, and for some needs saying, and that is there is no dependency on atmospheric composition in this truth. The atmosphere could be 100% CO2 and there would be no difference.
There’s definitely more exposing of these (pseudo-)scientists’ ‘idiotic narrative’ to be done, so keep on doing it.
As I see, Joe, you still like it the hard way.
Why suggest a long complicated solution if there is a short easy one?
Look at their “greenhouse effect” in the IPCC report: http://www.ipcc.ch/publications_and_data/ar4/wg1/en/faq-1-1-figure-1.html. Those are values averaged over a certain period of time and a certain area. To make it simple for the readers, let’s assume 1 second and 1 m² and let’s call joule a “thing”.
So, what we see in the picture is 342-107=235 things entered the system from which 324 things are absorbed by the surface! Every sane person understands that that is sheer nonsense. Climate science in a nutshell.
That’s a good one Greg, exactly. 235 enter, and then 324 are absorbed. Magic. Maybe I’ll post this in a new article since it’s so brief and simple.
To your article, I doubt that they first mistakenly calculated the -18°C thing and then had to find something to explain the in fact higher average temperature, so they “found” the back radiation warming. I do not believe it was just that innocent chain of mistakes.
To this -18°C thing, there is an easy way too to demonstrate that that is a sheer nonsense. Just using their approach we calculate the average temperature for each hemisphere first and then take the average. The result is (303K+0K)/2=151.5K which is -121°C. So, two different “correct” results. Proves the whole approach nonsense.
Joe, thanks for that. This entire myth is sustained by scientific “authorities” and it also gets ‘legs’ from celebrity scientists and naturalists. The scientific “authorities”, apart from the tossers in the UNIPCC, are the Chief Scientific Advisers to national governments. The celebrity scientists here in the UK are Prof Brian Cox and Dr Brian May (the lead guitarist in Queen). The naturalist is a UK national hero who has recently started spouting this crap – David Attenborough.
Nothing will change until we get these people to start questioning the bullshit that comes from the UNIPCC. It would be a big help if you could do the ‘Janet & John’ version which Greg is suggesting and send both to your national Chief Scientific Adviser and the named sciency celebs and ask them to peer review both. It would carry more oomph from an astrophysicist than from me.
Great article.
For sure Greg, agreed. It is a way to couch the problem. But yes, aside from reasoning what was done, the simple fact is that it is all sheer nonsense. It is disgusting extreme idiocy.
Thanks Joe! … Great to see you writing some new stuff again! … Keep it coming!
The simple fact is that it is obvious that their analysis is wrong and has been demonstrated by reality they simply choose to ignore.
I see Wikipedia claiming – “If an ideal thermally conductive blackbody were the same distance from the Sun as the Earth is, it would have a temperature of about 5.3 °C.”
I always find a real paradox here – the theoretical blackbody calculation invoking the 4 times reduction factor versus the fact that this blackbody is absorbing all of the solar constant at potentially ~121 degrees C.
But the real interesting thing is that NASA – one of the most active proponents of the greenhouse effect – cite the example of Skylab.
During launch some of Skylab’s heat shield tiles were accidently dislodged.
Despite being a relatively small area and Skylab not being a “blackbody” the internal temperature exceeded 134 degrees F or almost 57 degrees C and was uninhabitable until repair.
Slightly more than 5.6 degrees C but people who claim to be sceptics simply ignore this when it comes to their passion for the greenhouse effect.
I re-read Claes Johnson’s “How to Fool Yourself with a Pyrgeometer” so I tried to play with Planck curves to see if there is any insight into the way in which the proponents manipulate the SB equation.
I used a spread sheet and programmed Planck’s equation and plotted curves equivalent to the values oft quoted in greenhouse lectures – 239.7 + 239.7 = sigma T^4 using T1 = ~255 K and T2 = ~303 K- I let the spread sheet calculate these using the SB law and 239.7 and 479.4 W/sqm.
The SB law is derived from Planck’s law as pi times the integral over all possible wavelengths (or frequencies or wavenumbers or whatever variable you choose) and you can verify this using small histograms to approximate the area under the plotted curve.
Obviously 239.7 + 239.7 = 479.4 W/sqm and the SB equation calculates T2 = the fourth root of 2 times T1.
But just because the values of 479.4 and 239.7 provide certain temperature values does not prove 239.7 + 239.7 = sigma T2^4 as a sum of discrete fluxes.
If the simple sum is valid, then as we are simply adding together two values that are equal it is valid by the rules of calculus to simply double every value calculated at every wavelength (or frequency or wavenumber or whatever variable you choose) in the Planck curve for T1 = 255 K and compare the curve to the curve produced by T2 = 303 K.
Obviously these are not the same curve – Wien’s displacement law is not factored in to the simple algebraic sum ! The curve produced by the simple sum is not a Planck curve at all even though it has the same area under the curve as the valid Planck curve for 303 K.
Plotting these also demonstrates graphically how stupid Brown’s proof of the steel greenhouse effect using the SB equation is.
He was so stupid he assigned the same value “P” to two “things” which have no common characteristic other than a numeric value.
He claimed to prove the relationship he desired by attempting to equate “P” as the area under the curve to the value P(net) which is the difference between the values between 2 Planck curves and are not the same thing.
He couldn’t even understand that unless you know both temperatures initially the expression of P(net) has infinite solutions not simply the one he wanted to show by meaningless circular “logic”.
So my question to any who want to discuss this is:-
If the SB equation is the integral of the Planck curve times pi over all wavelengths – seems to be accepted science
AND
by the rules of calculus it is valid to simply double each value calculated for the curve of T1 = 255 K to produce a curve with double the area under the curve representing the simple algebraic sum
THEN
if this simple algebraic sum is a valid relationship shouldn’t this sum produce a valid Planck curve equivalent to the temperature calculated – T2 = 303 K??
If not why not ?
PS I tried all sorts of things such as scaling the sun’s blackbody emission by the inverse square law and adding it to ~255 K curve as well as using various emissivity values.
Yes that is exactly it Rosco, great work. The sum of two Planck curves does not produce a displacement to a higher temperature Planck curve. Of course that is all about Wein’s Law but that law is a simple statement about what is the behaviour of the Planck curve relative to temperature – the peak of emission moves up. I’m surprised I’ve never thought about writing about this before myself. I probably will now, so thanks.
And all of this is exactly why two identical Planck curves do not produce a higher temperature, i.e. why two ice-cubes facing each other do not heat each other up, why radiative heat only flows from hot to cool, why cool doesn’t heat up hot, etc etc. Exactly Rosco, it is all in the shape of the Planck curve and where it peaks, Wein’s Law etc. This too is first-year university physics, but these incredible morons think that two identical Planck curves will add together to shift their peak to higher temperature!!?? Where are their heads? There’s so many errors you can hardly begin to focus on them all.
Your math discussion is quite nice to see, and of course is rational and the way it works. Doubling the values only doubles the values, and it necessarily doesn’t shift the distribution of those values relative to each other, since they’re all doubled.
I’ll write on Greg’s suggestion, and this one. Maybe not right away but hopefully I’ll get to it.
I have a bunch of spread sheets – MS Excel format – with formula entered for wavelength, frequency and wavenumber and graphs plotted for various temperatures and even sums of histograms producing area under curve values to confirm the SB equation relationship.
I also reversed the Planck equation to solve for temperature using the curves. As expected the temperature for every real Planck curve is simply the value used to plot the original and plots as a constant flat line when T is plotted against wavelength etc..
But some extraordinary curves of varying temperature emerge when plotting the values extracted from any curve such as the sum of 2 fluxes or the difference – just a bit more evidence these sums and differences do not equal sigma T^4 – at least that is how I think of the results.
Graphs form such an integral part of science that to reject these results because they are inconvenient to a hypothesis seems to me to be a denial of reality.
I would be happy to convert them to Open Office format and email them to you. Let me know by email at roscomac@dodo.com.au if you want to look at them.
I also have produced some highlighting Brown’s mistake by colouring in the area between the 2 curves – which does have the “right” numerical value of “P” but is so obviously nothing to do with the emission curve from an object at any temperature – it is so obvious his “proof” is meaningless gobbledegook even the dimmest climate scientist couldn’t miss it.
I still don’t get how they confuse the difference between 2 Planck curves – P(net) – with the actual area under a real Planck curve and claim they are clever ????
I believe as Claes Johnson does that this casts serious doubt on many other algebraic manipulations regularly made in climate science including his “How to Fool Yourself with a Pyrgeometer” article.
Am I correct to say – as I have on some blogs – that it is impossible for 2 waves to constructively sum to produce a frequency greater than either original ? I think I remember superposition stating that waves of different frequency interact destructively and waves of the same frequency can combine constructively but the result is only a change in amplitude of the crests and troughs and not a higher frequency ?
Brown claimed Dick Lindzen and Jack Barrett also wrote something like his “proof” – does anyone have any link to any paper showing this because I am prepared to tackle them on this using Planck curves even at the risk of a repeat of the despicable smear tactics they used when I disagreed with their steel greenhouse BS.
I hadn’t thought of Planck curves as a means of discussing whether their claims about the steel greenhouse were pure fantasy at the time. I have been reading more thermodynamics since then.
I think plotting Planck curves offers a compelling argument against the GHG lover’s arguments.
What I find interesting is I have never been able to find ANY reference to anything like the steel greenhouse claim in any thermodynamics books – even though many show the halving of radiation by a radiation shield none show any “back radiation” heating effects.
It has just occurred to me that they will claim the “f” in their diagram represents emissivity which is what they are trying to “prove”.
Again they have made the same error of predicting the result first and then using this to “prove” the desired result by circular logic – this time they claim the emissivity of the Earth’s surface is equal to that of the atmosphere – they claim this explicitly at their equation 7.13 –
f.sigma T0^4 = 2 f.sigma T1^4 – this must be the ultimate in sophistry ?
Just a final comment – sorry to go on like this.
I always wondered about the Nimbus graph – supposedly the “smoking gun” of climate science with that huge “bite” taken out of the peak of the radiation curve for a 290 – 300 K blackbody Earth at about 667 wavenumber or ~15 to 18 microns – right at CO2’s lowest energy absorption bandwidth.
Usually Wien’s law gives peak emission at ~ 9.6 micron using the standard wavelength version. It was this “anomaly” that started this whole Planck curve thing off.
Anyway this switching of the peak emission to differing wavelengths depending on the variable plotted is apparently something we just have to live with although I find this something almost untenable but I accept it for now. Plotting a Planck curve using various variables produces differing Wien “peaks” and each plot is as valid as any other.
BUT if you find a plot of measured radiation by satellite plotted against wavelength rather than wavenumber you see an entirely familiar type of curve but the peak is now at ~9.6 with strong un-attenuated surface emission obvious for significant areas either side of the peak and the “bite” so obvious in the Nimbus chart looks completely insignificant way off to one side.
UCAR produce graphs using wavelength from the Comet program as the plot variable and simple inspection of their plots suggests that ghg’s have almost negligible effect on surface radiation and suggest Trenberth’s value of 40/239 direct surface emission to space – ~17% – is nothing short of Bullshit.
Even the Nimbus chart suggests at least 50 % direct surface emission to their spectrometer.
How do they measure the temperature of the Lut desert at over 70 degrees C using Landsat if this isn’t true ?
Do you think the use of the “scary” looking Nimbus chart using Wavenumber rather than the benign looking UCAR plot using wavelength is simply accident or is it designed to mislead ??
Rosco can you link the different plots (Nimbus vs. UCAR) here please? Just to save me searching for them, so that I have the ones you’re referring to specifically. This is very important.
Yes that is exactly correct. Waves can interfere which means constructively or destructively as far as their amplitudes go, but never, ever does this change their frequency.
Their steel greenhouse stuff is pure idiocy. And yes you can tell the game they’re playing because they resort to smearing instead of learning from their obvious errors.
Look at how stupid this is…this is their diagram:
They think that the flux from the inner sphere needs to be conserved! It is only the power which needs to be conserved which means that the flux will be smaller (cooler) on the exterior shell, and therefore the whole greenhouse scheme is avoided in its entirety.
I debunked the whole thing here. I would love to see you do it once again Rosco.
JP: “Does the atmosphere emit energy toward the surface? Sure, but it doesn’t leave, because the surface stops it.”
Thanks for this, Joe. This is almost an explanation of back-radiation.
No that’s not backradiation, it is simply internally held energy. It doesn’t cause heating because heat doesn’t flow between identical or to lower temperatures, and it isn’t trapping to higher temperature because internally held temperature does nothing. Like Greg said, 235 things entered the system from which 324 are absorbed – backradiation isn’t even pseudoscience, it is just simple insanity, an insane religion.
JP: “internally held temperature does nothing”
Except that any object with a temperature above zero Kelvin will radiate from all of its exposed surfaces unless the Stefan-Boltzmann law is asked to take a holiday occasionally.
Hey, retard^, Q = s*(T2^4 – T1^4), therefore heat doesn’t flow from cold to hot and cold doesn’t raise the temperature of hot.
But you can go on being retard and subject to my moderation queue.
Idiot.
A little remark concerning the future version for general public. I am afraid some nice and convenient scientific terms should be avoided. One of them is “heat flow”. In fact, it is just a way to express the idea of temperature increase. For general public understanding it would be better to express things in usual terms. Temperature increase is generally understandable, heat flow is not, unfortunately.
MyplanetisOK – I would suggest that, if you can’t get your head around the concept of energy travelling from somewhere cooler to somewhere warmer, but with no increase in temperature where the energy is received, you stick to colouring in or finger painting.
I can see an ice cube, therefore it is sending me energy (visible and IR); however, my temperature does not increase, as I am already warmer. That’s how it works in the real world, unless you are a science-challenged climastrologist or a simple faith merchant.
Noted Greg…good point.
Joe – here is the link to the UCAR site but you need to create a free account to access their stuff – no hassles though.
https://www.meted.ucar.edu/asmet/asmet1/print.htm – this is a lecture series with images formatted for printing. They plot all their graphs using wavelength as the variable not wavenumber.
Here are 2 links to the Nimbus charts that piqued my interest originally – why the shift in peak emission wavelength which I know happens by plotting various graphs using different variables –
http://joannenova.com.au/2011/10/there-is-a-greenhouse-effect-on-venus/ – I thought Jo was a sceptic but apparently she is firmly wedded to the greenhouse effect.
http://www.drroyspencer.com/2012/03/slaying-the-slayers-with-the-alabama-two-step/ – we all know Roy’s views on this.
I don’t know if there is any direct connection or not but I was just reading a post on Real Science posted on the same day as this one which is basically insulting any skeptic stupid enough to be denying the greenhouse effect exists.
Apparently, according to him, greenhouse gasses such as water vapour prevent the heat from escaping and it is proved by areas of high humidity being warmer at night than dryer areas.
After one particularly short and mindless insult from him I posted a link to this article because you can explain it so much better than I can (hope you don’t mind). I did want to ask him why, if water vapour, overall, stopped the heat escaping why it didn’t just get warmer and warmer but he is such a rude man, very rude in fact, so I didn’t bother.
Martin, water which is evaporated from the surface cools the surface. When it condenses higher up to form cloud, heat is released locally. The effect is to reduce the heat gradient between the surface and the atmosphere where the condensing is occurring. This reduces that rate at which the surface cools, but this is just not the same as making the surface warmer, which can’t happen by this mechanism. The overall effect is heat is relocated away from the surface. That’s the atmosphere acting as a fridge, not a blanket.
CO2 plays no part in this, as, unlike water, it doesn’t change state in these circumstances.
JP: Q = s*(T2^4 – T1^4)
If T1 increases, Q decreases. This means that T1 is somehow affecting the net energy being received from T2. I am curious to know how that could happen if T1 “does nothing”. The reality is, any object continues to radiate outwards regardless of the level of incoming radiation. For example, the cool Earth radiates under blazing high-noon sunlight.
It is really quite easy to see that they are talking nonsense.
Joe has written on this so many times and it was his original writings from several years ago that forced me to think about whether it is acceptable to simply accept that a bunch of smug bullies can get away with refusing to debate their hypothesis by insult rather than logic.
Joe has consistently said the sun does not shine 24 hours a day at any location at one quarter power.
This is simple reality yet the GHG effect acolytes continually deny this – that is a clear indication of someone in need of medication !!
All of their science is meaningless beyond the simplistic calculation that the Earth needs to radiate 239 W/sqm over 4 times the area to balance 956 W/sqm over 1/4 area.
I’m not even convinced this actually means anything at all but for those idiots to compare the solar radiation which carries some “signature” of the energy that caused its emission to the feeble far infra-red radiation emitted by Earth is again evidence of someone in need of medication !!
I always see climate doom and gloom acolytes citing Planck curves as proof that DLR for example proves the GHG effect because the solar radiation “peters” out beyond 5.5 microns yet they never considered verifying their claims about how flux sums or how low frequencies are shifted to higher frequencies – something not observed in any natural state or any manmade device without significant energy input.
Why do they always insist DLR simply has to be recycled terrestrial radiation ? Only the wavelength > 4 microns can be the reason.
BUT even Trenberth’s Energy Budget says ~ 78 W/sqm of solar energy is absorbed directly by the atmosphere and if you remove their ridiculous sun shining all day factor of 4 you have ~312 right there – DLR from the Sun !
If DLR is measured at night – something I have problems with because there is doubt if Pyrgeometers actually measure anything at all or are they simply producing mythical results from inappropriate manipulations of the SB equation AND because I think Nasif’s simple experiment is likely valid AND Joe’s – isn’t it simply the radiation from the air temperature which is always the result of the solar radiation anyway ?
Martin, those people at Real Science are psychopaths. That moron is lying outright and is misattributing the effect of latent heat contained in liquid and vaporous water to be a “greenhouse effect”. Latent heat allows temperature to remain high while energy is released – it slows cooling overnight. This is not the greenhouse effect, CO2 doesn’t do this, and it is of course totally natural. And in any case, higher water vapor concentration leads to COOLER day-time temperatures, not warmer.
@MyplanetIsOK – The equation means that a cooler T1 doesn’t raise the temperature of a warmer T2. Q is the transfer of energy which goes to zero when the temperatures equal, obviously. Hence, a cooler atmosphere can not raise the temperature of a warmer surface. T1 “does nothing” to T2, when T1 is cooler, and T2 can warm up T1 in that case.
Indeed Rosco they are totally insane. I think we need to view these people as suffering from some form of psychopathy. Of course when you connect their ideology all up to what it represents, this religion of anti-mind and anti-human, then yah it is totally clear that these people are pure psychopaths. Who in their right mind goes insane when you ask them to reconsider stupid ideas like cold heating hot, a flat Earth, cold sunshine, like flux being conserved instead of energy, like 235 units powering the system for which you get 324 units of power, etc etc etc? No one, which is why they do, which is why they’re psychopaths.
I got your email and will reply later.
For sure, the spectral signature of solar vs. terrestrial radiation has always been an exposure of their lies, which is why they never wish to discuss it. The atmosphere is either the same or cooler than the surface, hence can’t warm the surface because it doesn’t have the spectral properties to be able to do so, i.e. a higher Wein peak, more energy at higher frequencies, etc. The solar spectrum is what heats the Earth – NOT THE EARTH’S OWN THERMAL SPECTRUM! What a stupid thing for them to say!
JP: “The equation means that a cooler T1 doesn’t raise the temperature of a warmer T2.”
If Q is incoming solar energy, then the Earth also radiates Q. That is, Q in the equation is constant in this circumstance. If T1 rises for any reason, then so too does T2. T1 affects T2, because the object with temperature T1 (the atmosphere) radiates in all directions, including towards the object with temperature T2 (the Earth’s surface). The SB law for emitted radiation does not stop applying to surfaces with greater incoming radiation. The equation for Q is net energy transfer. Additional balanced energy transfers resulting from back-radiation and consequential equal energy re-emissions can be included in the equation and it will remain valid.
Joe, before you write an article specifically for general public, maybe it would be useful to have a thread where constructive suggestions could be made, how to make the fraud obvious to the public and what should be avoided in explanations. If you like, you can open the thread with my comments on “things” and “heat flow” just as a starting point, and then others will come and contribute. But that thread should not turn a 100th discussion with warmists and pseudo-skeptics on “steel greenhouses”, Plank curves etc which 99.9999% of the population do not understand. Some moderation will be probably necessary to get a compact thread with useful suggestions and ideas other people could use on various blogs and maybe on TV etc as well.
Thanks Joe.
The -18C temp. is based on the OGR of 240W/m2 but the K&T abortion has a surface radiation figure of 161W/m2 which gives -42C/ So their argument is based on figures that do not agree with their arguments.. How crazy is that?
Their incomming ”back radiation” is about 300W/m2 which is -1.6C. Try getting warm by standing in front of a block of ice, output flux 316W/m2 for smooth ice.
Martin Hodgkins says:
2014/11/14 at 4:08 PM,
Martin, I feel your pain. I mistakenly engaged with some of the idiots at Real Science (Steven Goddard / Tony Heller) over several posts on this subject. You are correct in that he is extremely rude and doesn’t listen to anything that counters HIS narrative. He seems to have taken on some sort of God complex, believing everything he posts is gospel and should be treated by others as such. I feel he has taken a dive down the same rat hole as WUWT.
BTW, to Joe’s point. Yes, I believe this IS some sort of psychological disorder. or at least phenomenon. I am beginning to recognize a distinct pattern with a lot of these types of sites and their proprietors. They all seem to drift off and fall into a similar psychosis. I hope that Joe can refrain from doing something similar. Keep the discussions open and stick to the science and the FACTS, and preferably leave the ego out of it.
It was painful, but it made me come to my own personal realization that I have wasted far too much time reading and posting at his blog (Real Science). Heller presents some very valuable information from time to time, namely historical records and the fraud that NASA, NOAA and the rest are engaging in, but, it is an infinite loop. Heller simply repeats the same stuff over and over, adnauseum. I will be spending much less time there in the future.
To Rosco, one only needs to read the comments on a couple of the recent GHE posts at Heller’s site to realize what you are saying here (I know you have as well, as I read some of your posts there too). It has been rare that I have read such twisting, turning and mental gymnastics in order to try to convince someone that a GHE is fact and shouldn’t be questioned. Astonishing! .. To your point, I recognize several typical comments that clearly identify one to be psychotic on this issue. Things like “…a blanket keeps you warm…” is a clear tell. I believe it may be impossible to reach such individuals.
Joe, I thought of something rather interesting last night, as I was reading the latest on the comet 67P/Churyumov-Gerasimenko landing. I am not sure of the distance from the sun that the comet currently resides (about 311 million miles from Earth though), however, I am relatively certain that it is quite far away since it takes more than 30 minutes for radio communications from the Earth to reach it. With that said, they made remarks in their article about how hot the sunny portions of the comet are. Specifically hot enough to create fissures and other phenomena.
To me this speaks directly to two issues. One being the subject you bring up often, and that is the belief that sunshine hitting the Earth is cold, or at least not hot enough to melt ice (without the magic of the GHE). The other is the misconception of what the temperature of the Earth would be without an atmosphere. Clearly, the proponents of the “cold Earth” without atmosphere are wrong, clearly wrong. I do not see how it would be possible for the temperatures on 67P/Churyumov-Gerasimenko to reach sufficient magnitude to create such fissures and other things, if sunshine were so cold, especially over such vast distance. Sunshine simply CANNOT be so cold!
Thank you for all the times that you clearly point this out to be true. A very important point within these discussions.
Rosco, here was the latest Heller nonsense:
ROFL….
@MyplanetIsOK
The term ‘Q’ is not the incoming solar energy. From that incorrect interpretation of the equation, arises all sorts of further misinterpretations and bad physics. If this is the mistake you’ve been making then apologies for trashing on you so hard, because if you’re not well studied in physics it will be something you’ve accidentally picked up from the climate pseudoscientists.
I address that misinterpretation of the equation many times on this blog, but here I do it up front:
Q = s*T2^4 – s*T1^4
Q is the heat flow between the Sun and Earth and so is not the solar energy, because the solar heat energy would be a term on the right hand side, s*T2^4, but factored for distance. How this is done is demonstrated in the link above. So Q is actually zero if we consider the Earth (T1) to be in energy equilibrium with the solar input, which it should be within a small margin.
So to repeat, Q can not be the solar heat input, and T1 and T2 can not be the be the atmosphere and surface. That’s not what that equation is about at all.
It is also discussed here:
Hope that helps. Should be a pretty big epiphany for you.
OK Greg that’s a good idea. Thanks. Will try it next time it’s needed.
Well exactly John Marshall. They add ice cubes and dry ice (frozen solid CO2) together to make it hot…lol!
Exactly Squid (@ 2014/11/15 at 7:54 AM)
That’s the difference between averaging, and real-time physics. Real-time physics is reality. The average is NOT reality.
MyplanetIsOK says: 2014/11/14 at 4:30 PM
JP: Q = s*(T2^4 – T1^4)
You are making the same mistake that Robert Brown made with his idiotic “proof” of the Steel Greenhouse effect.
“Q” as you have written it is NOT an actual radiant emission corresponding to any temperature and hence is NOT subject to any VALID algebraic manipulation.
ALL of the RELIABLE sources of information are careful to note that “Q” as you have written it is actually Q(net) – the difference between two the emission power from 2 objects.
This is easily observed on a Planck curve diagram.
Q1 for the lowest curve is the area between the curve and the x axis and is has a value equal to sigmaT1^4
Q2 for the lowest curve is the area between the curve and the x axis and is has a value equal to sigmaT2^4 – note this area completely includes all of Q1
But Q(net) = s*(T2^4 – T1^4) is NOT a radiative flux at all – it is the area between Q2 curve and Q1 curve !
Only the Q1 and Q2 curves have any relationship to the Stefan-Boltzmann equation BECAUSE it is explicitly derived from Planck’s equation as pi times the integral from 0 to infinity of Planck’s equation df (frequency) or dw (wavenumber) or dlambda (wavelength) – can’t insert symbols to make it mathematically obvious.
If T1 = T2 then Q(net) = 0 as you say and surely this simply says 2 objects at the same temperature have 0 net energy exchange and therefore no thermal effect on each other !
If T1 is less than T2 object 2 is “heating” object 1 and this also demonstrates the ridiculous nature of all “greenhouse effect” “mathematics” – they simply play algebraic tricks without any recognition of the constraints of what they do !
Q1 = sigma T1^4 is a valid flux for T1; Q2 = sigma T2^4 is a valid flux for T2
BUT
Q = s*(T2^4 – T1^4) is JUST A NUMBER – nothing more !
Look at some Planck curves to see this clearly – if there are several curves overlaid there are endless possibilities for – Q = s*(T2^4 – T1^4)
AND you cannot even know what number that is unless you know T1 and T2.
To manipulate this expression by algebra to obtain other equations “proving” anything is as nonsensical as the rest of climate science.
As far as I can find ALL of the books dealing with atmospheric radiation start with the premise of radiation between two solid “plates” to establish radiation exchanges between these two solids.
They then extrapolate this to the 2 “slab” model Joe shows at the top of the page.
They then progress to establishing Earth’s “radiative equilibrium” temperature and it equivalent SB calculated value of ~239 W/sqm.
THEN they all slip into fantasy land and use this 1/4 value as the actual insolation ??
Where you live the Sun is either shining or not – it is almost never 1/4.
I cook a cake at 180 C for one hour or do I cook it at minus 18 C for ten hours – the energy input is the same but the thermal response is entirely different – YET the GHG acolytes dispute this reality and think they are clever because they think they understand averages which they believe is beyond mere mortals ???
One atmospheric radiation text I read spent considerable effort in mocking the concept of a “global temperature” and simplistic discussions about simplistic “physics” BUT STILL developed the exact same models they originally mocked ??
Go Figure !
Joseph:
There is a website called PVeducation.org, and I am finding some interesting dynamics they have put together. The organization has pyrometers and/or pyrheliometers situated in many places on earth. They have 20 years at least of measurements. Measuring solar radiation and solar insolation, there is a mapping on the site which has the peak daily solar irradiance and insolation at different locations. For example, Cairo receives a peak irradiance 7.79 KWh/m^2/day, which translates to 7.79 hours at 1KW/m^2 in a day. This is measured data, not from a model. There is data for cities all around the world, and their data shows there is an average solar insolation per day on the earth of 1000W/m^2. This certainly does not indicate a -18 deg C as a valid temperature. Also, as an interesting point of reference, there is a statement that “the sun inputs more energy on earth in one hour than mankind uses in one year.”
Also, I wanted to ask you about satellite measurements of temperature. From what I have read, microwave radiometry does nor actually measure the temperature of earth at any particular point, but, just measures a “brightness temperature”–which includes the base temperature, with several other components including background noise, emissivity, reflectivity, and transmissivity. The measurements have at least a .5K error factor, and can reach a 2.4K error in certain situations. So, why do the national organizations and the global warming crowd always push the surface temperature anomalies as some kind of factually based measurement of earth’s temperature? It seems to me to be just an exercise in graphing massaged data.
At any rate. I really like your work and approach to climate science.
Yes CW that is exactly it – the alarm has been manufactured over noise, over natural statistical variation both in detection and in the system itself. Their pseudoscience is to look at only the rising slope of a section of noise and to call it an alarming signal!
f -flux
Le – Luminosity of earth (emitted power of earth)
Ae – surface area of earth
alb – albedo of earth = (1-absorptivity of earth)
sbc – stefan boltzman constant
Te – Temperature of earth
Ts – Temperature of sun
Rs – Radius of sun
de – distance to earth from sun
p – projection factor for radiating sphere
emis – emissivityof earth
(roots written as raising to power of inverse fraction)
JP (formula 9 page 11 Understanding the thermodynamic atmosphre effect):
Te=Ts {Rs^2(1-alb)/(de^2*p)}^1/4
I think this asymmetrically corrects for albedo (reflectivity) on solar absorption, but fails to correct for emissivity for heat emission. This omission results in non-robust answers if testing boundary conditions.
Therefore:
Te=Ts {Rs^2(abs)/(de^2*p*(emis))}^1/4
Absorptivity = emissivity for a blackbody, so: Te=Ts (Rs^1/2)/(de^1/2*p^1/4)
People claim solar selective surfaces have Absorptivity Emissivity. This makes not a lot of physical sense to me from a heat energy perspective. Seems like another example for a perpetual motion machine. The notion that CO2 as an absorbing/emitting gas can behave as a solar selective surface makes even less sense. How can a gas molecule selectively suck up more energy in absoprtion than it is prepared to release in emission? I think this can be easily settled by the very simple experiment measuring the temperature of 2 vastly different spheres (eg shiny mirror and matt black) in space subject to solar radiation and full surface radiation to space. I hypothesise that both will be exactly the same temperature.
I’ve been wondering if this can be tested using an off axis solar cooker with a hole in the side. Heat a sphere in the sun through the side of the reflector and permit it to radiate to space using the solar reflector in reverse. Not sure of the parameters of sphere size and cooker size to get an eaily measureable result with a thermocouple temperature probe.
@ JP
Thank you for the reply. There are many points raised, but one sits at the heart of the issue – back-radiation as exemplified in the much discussed steel greenhouse to which you kindly supplied your link.
The article has the following equation.
Qsp = Asp*σ*(Tsp4 * (rsp/rsh)2 – Tsp4)
The inclusion of the radii terms is admirable and deserves consideration.
Tsp is the temperature that the sphere would be in the absence of the shell. The equation assumes that Tsp does not change in the presence of back-radiation from the shell.
The article seems to accept that there is radiation from the internal surface of the shell. Some of this energy flow strikes the sphere, and then it vanishes from the equations.
The actual temperature of the sphere in the presence of the shell is determined by the energy from the power supply, plus energy cycling between the sphere and the internal surface of the shell.
By the way, there is no runaway amplification in this process. If the shell is in close proximity to the sphere, then in any instance the sphere receives a unit of energy from the power supply. In the same moment, that unit is joined by approximately one unit being returned from the shell as back-radiation. Thus almost two unit of energy are emitted to the shell, one of which is subsequently emitted outwards (balancing the energy from the power source precisely), while the remainder is the back-radiation being returned to the sphere. All that has happens with the addition of the shell is emission of power supply’s energy at a slightly larger radius, as expected. However, the temperature of the sphere rises in order to dispose of the energy from back-radiation. It would be rise further upon addition of more outer shells.
The equation doesn’t assume anything, other than the application of the law of radiative heat transfer. The presence of the shell does not increase the temperature of the sphere, as per the usage of the standard equation for radiative heat transfer. The energy from the shell doesn’t vanish at the sphere, but the heat flow does, as was demonstrated in that link. That energy is returned to the shell immediately and simply keeps it from cooling on its interior.
Please read it again until you understand it. And refer to the textbook link I supplied for you elsewhere.
The radiative transfer equations do not at all say that the passive shell causes the sphere to heat up. That’s simply not what happens, and is an arbitrary, baseless claim. The textbook I linked for you has a worked example for this exact problem.
You still seem confused by the misunderstanding of what ‘Q’ is in the radiative transfer equation. I see you’ve avoided acknowledging a correction in your thinking there. Please abandon that, and use the equation correctly.
Until you demonstrate that you’ve grasped just that equation, there’s not much more use for you on this thread. Good luck. I sincerely hope you can understand that equation.
Polished metal typically has very low emissivity but isn’t too low for albedo, and thus it can get quite hot, a lot hotter than an ideal blackbody. An ideal blackbody, ideal in terms of emissivity = 1, is actually the coolest object, whereas things with lower emissivity but the same absorptivity of the blackbody will be hotter. This is well known in space flight stuff.
@JP: “That energy is returned to the shell immediately and simply keeps it from cooling on its interior.”
For a shell in close proximity to the sphere, energy back-radiated from the shell has only one immediate fate, and that is absorption by the sphere. Meanwhile the sphere is receiving a constant independent stream of energy from the power supply. The energy from the power supply and energy received from back-radiation are both emitted by the sphere. This higher energy flow from the sphere can only result from its higher temperature, according to the SB law.
The sphere is a black body radiator. It is not reflective. Back-radiation energy from the shell does not do a U-turn before striking the sphere. It is absorbed by the sphere and re-emitted, along with the constant input of energy from the power supply.
The inner surface of the shell constantly emits radiation. That energy cannot accumulate. It has to leave the system. There is only one mechanism for it to reach the exterior. That is, it is absorbed by the sphere, raising its surface temperature above the steady state surface temperature of the sphere without a shell.
Among the links here, there does not appear to be one to a textbook, unless you are referring to the Harvard link in the article itself.
Q = s*(T2^4 – T1^4)
This equation describes heat flow for a steady state system after T2 and T1 have stabilized. For a system where Q is constant, it incorporates feedback from T1 on T2. Otherwise T1 would be irrelevant.
When I make an obvious error, I will be admit it.
You are not admitting or acknowledging that you do not understand the equation for Q. Q is not a constant. Q is not the source. That is your error. Too bad you can not understand it. Don’t expect any more of your pseudoscientific purposefully lying comments to be posted.
All of the energy that the inner sphere emits, gets emitted by the outer surface of the shell, at a lower flux since the surface area is larger. You also make the mistake of conserving flux, not energy. Flux is not conserved. The shell warms up to a lower temperature than the sphere, and then emits all of the energy coming from there sphere on its outer surface. All of this was discussed in the steel greenhouse link, which you know of course, but ignored. Thus, good bye 🙂
I forgot to mention earlier – the fundamental reason why absorptivity = emissivity at radiative thermal equilibrium is because it must be. Kirchoff’s law. Black body or grey body, at radiative thermal equilibrium and no net energy flux, absorptivity must be equal to emissivity.
This part of physics seems so elementary. Anyone claiming absorptivity not equal to emissivity must be using measurements not valid nor made at radiative thermal equilibrium.
(Sorry wordpress scrubs out my greater than and less than signs in earlier post absorptivity not equal to emissivity – can you please fix??)
Let’s see:
You have a sphere with a steady power input Qin,from the sun in the case of the earth, from a radioactive source in the case of the steel greenhouse thought experiment . Let’s call it:
Qin = (235 * Asphere) watts.
The sphere only has radiative power loss to ambient. Let’s call that Qout.
The sphere’s power balance, and therefore its rate of change of internal energy, is determined by the difference of Qin and Qout:
dU/dt = Qin – Qout
The sphere’s radiative output — assuming a blackbody for simplicity right now — is:
Qout = sigma * (Tsphere ^4 – Tambient^4) * Asphere
If the sphere is radiating directly to deep space, the effective Tambient is essentially 0K (using 3K makes no detectable difference). For the case of the uniformly heated blackbody, we have:
Qout = sigma * (Tsphere^4 – 0^4) * Asphere
For the sphere to be in steady-state conditions and therefore to have a constant surface temperature, Qout must equal Qin so that:
dU/dt = 0 = Qin – Qout
For the blackbody sphere, we substitute into the above equations and get:
235 * Asphere = sigma * (Tsphere^4 – 0) * Asphere
To calculate what the surface temperature of the sphere (Tsphere) must be for it to radiate out as much as it receives, we re-arrange this equation and get:
Tsphere = (235 / sigma) ^ (1/4) = 253.7K
If you have a higher Tambient that the sphere’s surface is radiating to, Qout from the sphere is reduced.
[JP: This is where you start to go wrong. The energy from the sphere is what is required to maintain the temperature of the shell, because the shell emits all of the energy it receives on its interior from the sphere on its exterior outside surface.]
If Qout is reduced, but Qin is not, dU/dt becomes positive. This means that Tsphere will increase until Qout increases enough to balance Qin again.
[JP: Qout is not reduced. It is fully emitted on the outside of the shell once the shell warms up. If the shell is negligible then this happens instantly. Qout from the sphere is what is required to maintain the shell’s temperature, and is then lost on the outside of the shell.]
In the case of the steel greenhouse, the outer shell must radiate to space a total power Qout equal to the total power input Qin of (235 * Asphere) — note this is Asphere, not Ashell — for the total sphere-plus-shell system to be in the steady state. (This is total power, not flux.) This means that the outward radiative flux Q’out from the shell to space is the total power divided by the outer surface area of the shell:
Q’out = Qout / Aout = Qin / Aout = (235 * Asphere) / Ashell
In terms of the radii of sphere and shell, the flux is:
Q’out = (235 * Pi * Rsphere^2) / (Pi * Rshell^2) = 235 * (Rsphere^2 / Rshell^2)
Let’s take a representative example that Rshell is 0.1% greater than Rsphere — 6.4 km above a 6400 km sphere radius. We have:
Q’out = 235 * (6400^2 / 6406.4^2) = 234.5 W/m^2
To compute the temperature of the outer surface of the shell, we set up the equation:
Q’out = 234.5 = sigma * (Tshell^4 – 0)
and solve for Tshell:
Tshell = (sigma / 234.5) ^ (1/4) = 253.6K
So the outer surface of the shell must be at 253.6K for the total sphere-plus-shell system to be in steady-state condition, and therefore at constant temperature.
[JP: This is simply the inverse square law. The flux on the outside of the shell is less than the flux from the interior sphere, because the shell has larger surface area by the ratio of the squares of their radii. The shell is necessarily cooler than the sphere. The shell’s cooler temperature is maintained by the energy from the sphere, because the shell loses an equal amount of radiation it receives on its interior, on its exterior, when it has stopped rising in temperature from the heat from the sphere. The sphere is not required to get hotter in order to warm the shell.]
In this case, the inner surface of the shell must be 253.6K or greater. With infinite conductivity of the shell, it would be at the same 253.6K as the outer surface. We will use that value.
[JP: Indeed, assume the shell is negligible for convenience. So it has the same temperature on the outside and inside surface.]
The inner surface of the blackbody shell is now the “ambient” to which the sphere is radiating. In steady-state conditions, the total Qout power from the sphere itself must equal the total Qin power of (235 * Asphere) watts for the internal energy of the sphere to be constant.
[JP: No no, the shell’s temperature is maintained by the sphere. The shell is not an independent ambient system. The shell’s temperature is created by the sphere, and it requires all of the sphere’s energy to maintain it, because the same amount of energy that the shell receives on its interior, it loses on its exterior. What follows is therefore incorrect, as usual for this analysis, and as was shown in the steel greehouse debunking post.]
Qout = sigma * (Tsphere^4 – 253.6^4) * Asphere = 235 * Asphere = Qin
To calculate what temperature the surface of the sphere (Tsphere) must be for this steady-state condition, we re-arrange:
Tsphere^4 = (235 / Sigma) + 253.6^4
Tsphere = [(235 / Sigma) + 253.6^4] ^ (1/4) = 301.7K
So, carefully conserving power in our calculations, we see that the steel greenhouse shell increases the surface temperature of the sphere by 301.7 – 253.7 = 48K.
[JP: Again, this was incorrect; see the last comment. It is also incorrect because now you’ve stopped here, arbitrarily. If the sphere now has an increased temperature, then it emits more energy, and thus, the interior of the shell has to see more energy coming from the sphere, and thus, the shell has to warm up some more again, and thus, the sphere would see yet a higher “ambient” environment it itself created, and thus would have to warm up some more again, etc. The runaway heating problem can not be avoided by arbitrarily stopping the physics after a single iteration. By the direct math and physics of this scenario, it debunks the greenhouse effect itself. Incidentally I have a another post on this exact problem almost finished. Hope this explanation helped clarify things for you.]
Ed Bo
That over-lengthy piece translates thus: you believe there are free lunches available all over the universe.
You prevent yourself from having to confront this fallacy by arbitrarily ending the ‘logic’ after one iteration. This deceit is common amongst climastrologists and their acolytes who believe the crap on skepticalscience.com .
It’s impossible to take seriously anyone who comes out with this guff.
Joe:
In your Revisiting the Steel Greenhouse post, you state the following: ” since the interior sphere is the thing providing power, the passive shell will eventually come to thermal equilibrium with the sphere which means that, locally, at the location of the shell, the heat flow will be zero.”
This cannot be! The shell has a power output of (235 * Asphere) watts from its outer surface. For it to be in steady-state condition (dU/dt = 0), it must have also have a power input of (235 * Asphere) watts. In the steel greenhouse thought experiment, this power input to the shell can only come from the inner sphere, and only from radiative transfer, since there is a vacuum between them.
For this power to come from the sphere, there must be a significant temperature difference between shell and sphere. Using your equations, I calculated what that difference must be. The sphere must have a significantly higher temperature than if it were radiating directly to space.
In any thermodynamics course, one of the first things you learn is that you can apply 1st Law energy balance to any subsystem as well as the full system. This energy balance analysis is often even applied to infinitesimal slices of a system to derive the appropriate differential equations of heat transfer. But we don’t need to go that far.
In this system, you can apply energy balance analysis (dU/dt = PowerIn – PowerOut) to the sphere-only subsystem, the shell-only subsystem, or to the full sphere-plus-shell system.
You also learn very early that it is best to examine the steady-state condition (dU/dt = 0, so PowerIn = PowerOut) of any system or sub-system first. Combining these techniques:
Sphere+Shell: (235 * Asphere) in, (235 * Asphere) out. Only output mode is radiation to 0K, so easy to calculate outer temperature of shell. So far we are in agreement.
Shell-only: We know that we have (235 * Asphere) out, and Tshell. For steady state, we must have (235 * Asphere) in. This is the crucial point. If there were zero power input from the sphere, the shell would not be in steady-state (or equilibrium) condition. It would be losing internal energy and cooling down. To have this power input from the sphere, the sphere must be at a higher temperature than the shell. The computations above show 48K higher.
Sphere-only: At this point it is just a check. The sphere has a (235 * Asphere) power input. For it to be in steady state, it must have a (235 * Asphere) power output, which it can only do by radiative means. From the first step, we know Tshell that it is radiating to, so we can calculate the higher Tsphere necessary to transfer this much power.
You claim that if my analysis were valid, a runaway condition would occur. No! I carefully analyzed the steady-state conditions where the dU/dt of both the sphere and the shell were zero, which means the temperatures would not change at this point. In other words, this is the state that the system converges to from any starting conditions. It is not a “single iteration” as you claim, rather it is the result of an infinite number of (infinitesimal) iterations.
This is a very standard type of problem for an introductory thermodynamics course (nothing to do with climate change). Students are taught to analyze it in precisely the way I have shown.
[JP: Ed, the shell emits the same energy that the sphere supplies to it. It’s a real-time thing. It doesn’t require the sphere to be warmer. There is still a temperature difference between the shell and sphere and so energy still flows no problem from the sphere to the shell, and this is a state of thermal equilibrium. Heat flow is zero because temperatures aren’t changing any more, but energy still flows as required through the thermally stable system. As the outside surface emits, the inner surface receives, in real-time, instantaneously. See the new post, hopefully it will help you. What you suggest is not at all how this problem is handled in thermodynamics texts, though it is certainly possible that many teachers and some texts are starting to do it wrong given the effect that climate science has had on wrecking critical thought. The new post shows you how to do it. Yours is only a result of an infinite number of infinitesimal iterations when you set it up to give you the answer you want, which is an incorrect approach of course. Hope the new post helps you figure this out. The sphere simply heats the shell to the temperature of the flux that it receives, and then this energy is transferred out. You conveniently overlooked and didn’t acknowledge your error in considering that the shell is its own independent ambient thermal system, which it of course isn’t, and only has its temperature supported by the sphere, the energy from which it immediately loses to the outside. Thus to conserve energy, no energy is trapped back that the sphere needs to deal with, and of course the premise is illogical and anti-thermodynamical in the first place. The basic logical things you refuse to acknowledge and choose to overlook are very reminiscent of the previous fellow who sounded just like you. Until you get it, or choose a new email, and handle, don’t expect your comments to get through. However you have provided some material for a new blog post, so thanks for that, as I will once again expose your math errors and show the correct way.]
The multi-shell version is just a more complex version of the solid surface sphere. Ultimately, the solid surface sphere is not different as a body in space from a solid with gaseous atmosphere. After figuring out if any property of the sphere in space can be modified to change its temperature, then we can argue about what sort of difference an atmosphere coudl make to a surface.
The crux of it is if a shiny reflective sphere is exactly the same temperature as a white sphere which is exactly the same temperature as the matt black sphere, then the material composition of the sphere makes no difference at all to its temperature.
Climate scientists are arging that a change in albedo of something small will make a difference, when the physics suggests that a change in albedo anywhere from 0 to 1 will make no difference at all.
Not sure where you’ve picked that up from blouis79. Shiny reflective typically is very low emissivity and so have much higher temperature than matte black which is much nearer unit emissivity and much closer to a blackbody. It all depends on emissivity and albedo etc…for the final temperature. Changing the albedo should result generally in a change in temperature.
I got it from my understanding of physics and your explanation of the derivation of the formula for calculating planet temperature. Shiny reflective has a high albedo = low absorptivity. Shiny reflective will heat less in the sun. Everybody seems to know that in the real world.
Shiny reflective will also emit less. So what is the temperature of the shiny reflective ball lit by the sun that can radiate freely to space at 0degK?? Should it be hotter or colder or no different????
Absorptivity equals emissivity at radiative thermal equilibrium. Temperature is solely dependent on projection factor. Spheres all have the same projection factor.
See slide 32 of Satellite thermal control engineering for absorptivity, emissivity and temperature of black and snad blasted al:
http://www.tak2000.com/data/Satellite_TC.pdf
Black and sandblasted aluminum have different absorptivity and emissivity, but if both are equal, then the sphere temperature is exactly the same. I asked the author for a source, but he did not recall.
The whole notion of differing temperatures is based on the possibility of single materials having different absorptivity and emissivity. But according to Kirchoff, at radiative thermal equilibrium, they must be the same. I posit that there is a problem with the measurement method for absorptivity and emissivity, since it is not measured at radiative thermal equilibrium.
People seem to have great difficulty getting their head around this. Everybody I have asked who should know better says radiation is hard to understand and I am wrong. A simple experiment should easily demontrate if my interpretation is correct or not.
Joseph E Postma says:
2014/11/15 at 10:33 PM
“Polished metal typically has very low emissivity but isn’t too low for albedo, and thus it can get quite hot, a lot hotter than an ideal blackbody. An ideal blackbody, ideal in terms of emissivity = 1, is actually the coolest object, whereas things with lower emissivity but the same absorptivity of the blackbody will be hotter. This is well known in space flight stuff.”
Joe do you have references for that statement. Seems to me to be a bit off the planet. Your statements would be OK for internally heated objects (like earth with no sun), but not for radiatively heated objects.
The space flight stuff is well described in the slides on Satellite Thermal Control Enginering referenced by me earlier. What is lacking is any temperature data at all on a passivley radiatively heated sphere in space.
Low emissivity equates to higher temperature for a given equal albedo, yes.
So can emissivity not equal albedo at radiative thermal equilibrium???